- Home
- Latest News
- news line
- Districts
- Kerala
- India
- World
- Sports
- Videos+
- Arogyathejas
- Around The Globe
- Bomb Squad
- Charithrapadham
- Cinimayude Varthamanam
- Cut 'n' Right
- Editors Voice
- Hridaya Thejas
- In Focus
- In Quest
- India Scan
- Kalikkalam
- Marupaksham
- NEWS LINE
- Nireekshanam
- Pusthakavicharam
- RAMADAN VICHARAM
- Samantharam
- Shani Dasha
- Swathwa Vicharam
- Vazhivelicham
- VideoNews
- World in Words
- Yathra
- voice over
- Sub Lead
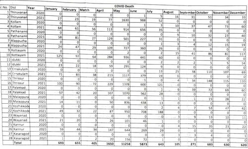
കൊവിഡ് മരണക്കണക്കില് സര്ക്കാര് വെട്ടില്; സര്ക്കാര് കണക്കില് ഇതുവരെയുള്ള മരണം 16170; വിവരാവകാശ രേഖ പ്രകാരം 23486
7316 മരണങ്ങള് കുറവെന്ന് രേഖ, നിയമസഭയില് വിവരാവകാശ രേഖകള് പുറത്ത് വിട്ട് പ്രതിപക്ഷ നേതാവ്

തിരുവനന്തപുരം: കൊവിഡ് സര്ക്കാര് മരണ കണക്ക് കുറച്ചു കാട്ടുന്നുവെന്ന ആക്ഷേപത്തിന് അടിവരയിട്ട് വിവരാവകാശ രേഖ പുറത്ത്്. സര്ക്കാര് കണക്ക് പ്രകാരം ഇന്നലെ വരെ സംസ്ഥാനത്തെ കൊവിഡ് മരണം 16170 ആണ്. എന്നാല് വിവരാവകാശ രേഖപ്രകാരം പുറത്തുവന്ന കണക്ക് പ്രകാരം ഇത് 23486 ആണ്. സര്ക്കാര് ദൈംദിന കണക്കുമായി നോക്കുമ്പോള് 7316 മരണം കുറവ്.

പ്രതിപക്ഷ നേതാവ് വിഡി സതീശനാണ് വിവരാവകാശ രേഖപ്രകാരമുള്ള കണക്ക് നിയമസഭയില് പുറത്ത് വിട്ടത്. ഈ മാസം 23ന് നല്കിയ മറുപടിയിലാണ് ഇക്കാര്യമുള്ളത്. 2020 ജനുവരിമുതലുള്ള കണക്കാണിത്.
അമരവിള സ്വദേശി അഡ്വ. പ്രാണകുമാറിന്റെ അപേക്ഷയിലാണ് ഇന്ഫര്മേഷന് കേരള മിഷന് മറുപടി നല്കിയത്.

സര്ക്കാരിനെ പ്രതിരോധത്തിലാക്കുന്ന കണക്കുകളാണ് വിവരാവകാശ രേഖകള് വഴി പുറത്തുവന്നിരിക്കുന്നത്. ഇതു ഉയര്ത്തി പ്രതിപക്ഷം കൂടുതല് പ്രതിഷേധങ്ങളിലേക്ക് കടന്നേക്കാനാണ് സാധ്യത. അതേസമയം സര്ക്കാര് പുറത്തുവിട്ടതിലധികം പേര് കൊവിഡ് ബാധിച്ച് മരിച്ചിട്ടുണ്ടെന്ന് തന്നെയാണ് ഡോക്ടര്മാരുടെയുള്പ്പെടെയുള്ള നിഗമനം.
RELATED STORIES
മഹാരാഷ്ട്രയില് ബഹുനില കെട്ടിടം തകര്ന്ന് എട്ടുമരണം; 25 പേരെ...
21 Sep 2020 2:40 AM GMTമലയാറ്റൂരില് പാറമടയില് പൊട്ടിത്തെറി; രണ്ട് അന്തര്സംസ്ഥാന...
21 Sep 2020 2:18 AM GMTകോഴിക്കോട് നാദാപുരത്ത് പുഴയില് കുളിക്കാനിറങ്ങിയ യുവാവ്...
21 Sep 2020 2:00 AM GMTസംസ്ഥാനത്തെ റേഷന്കടകള്ക്ക് ഇന്ന് അവധി
21 Sep 2020 1:36 AM GMTസംസ്ഥാനത്ത് ഇന്നും അതിതീവ്ര മഴ; പത്ത് ജില്ലകളില് ഓറഞ്ച് അലര്ട്ട്,...
21 Sep 2020 1:24 AM GMTരണ്ട് പുതിയ കണ്ടെയ്ന്മെന്റ് സോണുകള്; കോട്ടയം ജില്ലയില് ആകെ 32...
21 Sep 2020 12:50 AM GMT


















